Dimensionamento de estacas raiz pelo método de David Cabral (1986)
- Katharyna

- 30 de jan.
- 3 min de leitura
O uso de estacas raiz vem amplamente sendo utilizado em obras de fundações e reforços de fundações nos mais variados segmentos da construção, como, por exemplo, em edifícios, OAEs e em contenções. Seu dimensionamento geotécnico consiste na determinação da geometria da estaca e outros elementos, de modo que resista aos esforços solicitantes em detrimento da capacidade de carga do solo.
A adoção da estaca raiz como solução é vantajosa frente a outros tipos de estacas em situações onde há, principalmente, a necessidade de fazer a perfuração inclinada em relação à vertical, onde há um confinamento do espaço para a locação de equipamentos e onde há materiais rochosos para serem perfurados.

Considerações a serem feitas em obras com estaca raiz
Em projetos onde pretende-se adotar a estaca raiz como solução, algumas considerações devem ser levadas em conta:
Presença de vazios no local de perfuração: caso haja cavidades subterrâneas ou quaisquer espaços vazios no local de perfuração, ao injetar a nata de cimento para a concretagem da estaca (que é injetada sob pressão), os vazios em contato com o furo geram sobreconsumo da argamassa, o que pode, dependendo do caso, inviabilizar o uso dessa estaca.
Presença de solo mole no local de perfuração: quando há a presença de solo mole ao longo do furo, nestes locais ocorre um engrossamento do diâmetro do furo devido à baixa capacidade de confinamento em argilas moles, influenciado pela pressão aplicada na injeção da nata de cimento. Além disso, caso a espessura de solo mole seja expressiva, a estaca pode sofrer deslocamentos laterais nessa região quando for submetida a carregamentos;
Permeabilidade do solo: locais com solo muito permeáveis podem gerar uma perda de água da argamassa ao ser injetada sob pressão, e, como consequência direta, a redução da quantidade de água pode prejudicar a qualidade da estaca executada.
Dimensionamento geotécnico de estacas raiz pelo método de David Cabral (1986)
A estaca raiz, assim como outras fundações profundas podem ser dimensionadas pelos métodos tradicionais que são utilizados em projetos geotécnicos, tais como o método de Aoki e Velloso (1975) e Décourt e Quaresma (1978).
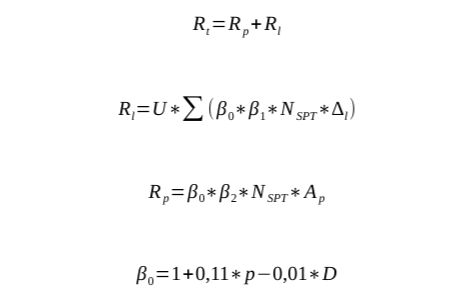
No entanto, David Cabral propôs em 1986 um método que considera a pressão de injeção da nata de cimento no dimensionamento geotécnico da estaca, e entrega como resultado os valores de capacidade de carga de ponta e do atrito lateral.
A expressão a seguir exibe a capacidade de carga de ruptura da estaca (Rt):

Onde,
Rt = Carga de ruptura total;
Rp = Resistência de ponta;
Rl = Resistência lateral;
U = Perímetro do fuste da estaca;
Δl = Espessura da camada avaliada (geralmente 1,00 m, medida padrão de cada trecho de ensaio SPT);
Ap = Área da ponta da estaca;
D = Diâmetro final da estaca;
p = Pressão de injeção da argamassa;
β1 e β2 = coeficientes de correção em função do tipo de solo;
Ressalta-se que na determinação da resistência de ponta (Rp), o valor do NSPT a ser utilizado deve ser o valor na ponta da estaca, enquanto na equação da resistência lateral deve ser utilizado o valor médio de NSPT da camada.
Para que a aplicação do método seja válida, o autor ainda apresenta os dois critérios a seguir que devem ser atendidos no dimensionamento:

Por fim, para se obter o valor da resistência admissível da estaca deve-se aplicar o fator de segurança exigido em norma, e o fator de redução de 0,8 para a resistência lateral. De acordo com a norma ABNT NBR 6122:2019, o FS para este tipo de fundação deve ser de 2,0.
A capacidade de carga admissível da estaca deve ser o menor valor entre os dois:

A tabela a seguir apresenta os valores de β1 e β2:

Para β0, também há uma tabela de valores, calculados em função da pressão de injeção de nata de cimento e dos diâmetros comerciais mais usados em estacas raiz:

Sequência executiva da estaca O processo executivo consiste na perfuração do solo com circulação de água ou ar, normalmente utilizando tubos de revestimento para estabilização do furo. Após atingir a profundidade de projeto, introduz-se a armadura e procede-se à injeção da argamassa de cimento, de baixo para cima, sob pressão, promovendo o preenchimento do furo e a aderência ao solo ou à rocha.
Em alguns casos é possível que não seja prevista a armadura, a depender das condições do projeto. No entanto, na maioria das vezes essa armadura está presente.
A imagem abaixo ilustra de forma detalhada o processo executivo da estaca raiz:




poderia realizar um exemplo para entender as unidades utilizadas e respostas do método ?